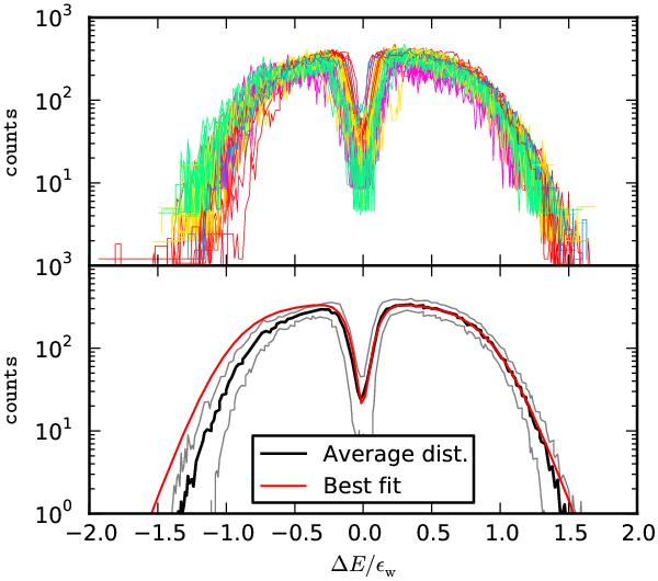
Fig. 7

Upper panel: histograms of the energy differences ΔE = Ei − Esat of the tidal debris particles of all simulations used in this work overplotted. The distributions are plotted as functions of ΔE in units of the width of the high-energy peak ϵw. The histograms are also renormalized so that the high energy peak covers the same area. The lines are color-coded according to the initial angular momentum of the progenitor system (from red representing more radial orbits to blue for more circular orbits). Lower panel: the mean distribution obtained from the distribution plotted in the upper panel (solid black line). The standard deviation is also indicated with the thin gray lines. Overplotted in red is our fitting function using the parameters given in Eqs. (20) and ϵw = 1.
Current usage metrics show cumulative count of Article Views (full-text article views including HTML views, PDF and ePub downloads, according to the available data) and Abstracts Views on Vision4Press platform.
Data correspond to usage on the plateform after 2015. The current usage metrics is available 48-96 hours after online publication and is updated daily on week days.
Initial download of the metrics may take a while.