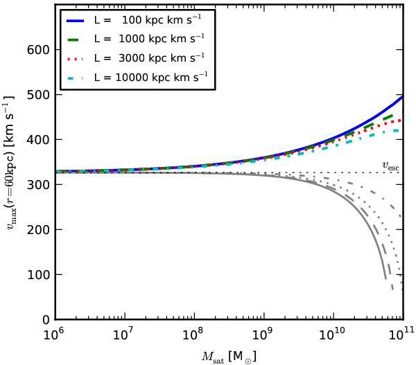
Fig. 9

The maximum ejection velocities at a galactocentric distance of 60 kpc as a function of initial satellite mass as computed from Eq. (23) assuming an initial orbital energy of the satellite Esat = 0 km2 s-2. The energy loss due to dynamical friction was computed using the empirical law (Eq. (14)) obtained from our simulations. The lower gray lines show the velocity of the satellite remnant at the same distance.
Current usage metrics show cumulative count of Article Views (full-text article views including HTML views, PDF and ePub downloads, according to the available data) and Abstracts Views on Vision4Press platform.
Data correspond to usage on the plateform after 2015. The current usage metrics is available 48-96 hours after online publication and is updated daily on week days.
Initial download of the metrics may take a while.