Free Access
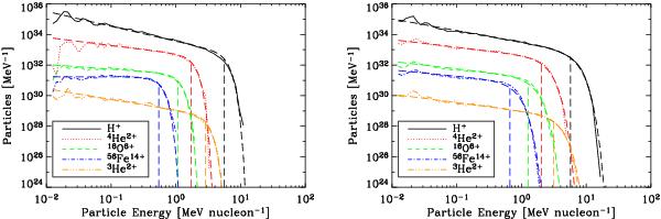
Fig. 3

Particle spectra after 80 s (left panel) and 640 s (right panel) of simulation, where Vs = 1500 km s-1. A power-law and an exponentional cut-off has been fitted to each population, ignoring the enhancement at the lowest energies.
This figure is made of several images, please see below:
Current usage metrics show cumulative count of Article Views (full-text article views including HTML views, PDF and ePub downloads, according to the available data) and Abstracts Views on Vision4Press platform.
Data correspond to usage on the plateform after 2015. The current usage metrics is available 48-96 hours after online publication and is updated daily on week days.
Initial download of the metrics may take a while.