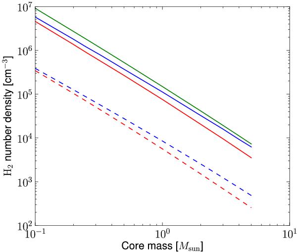
Fig. 2

Central H2 number densities of type 1 (OH94, blue solid line) and type 2 (LD01, red solid line) critical MBESs as a function of core mass. The green solid line represents central densities of critical BESs corresponding to the mean temperatures of the type 1 MBESs. Also plotted are the outer number densities of the respective core types (dashed lines).
Current usage metrics show cumulative count of Article Views (full-text article views including HTML views, PDF and ePub downloads, according to the available data) and Abstracts Views on Vision4Press platform.
Data correspond to usage on the plateform after 2015. The current usage metrics is available 48-96 hours after online publication and is updated daily on week days.
Initial download of the metrics may take a while.