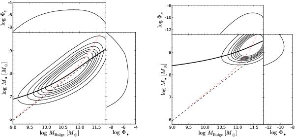
Fig. 3

Bivariate probability distribution function and its projections for a local type 1 AGN sample under the presence of a lower luminosity limit. The dashed black line again shows the input relation, the thick black solid line the observed relation ⟨ μ ⟩ (s), and the red dashed dotted line indicates the “observed” relation ⟨ s ⟩ (μ) of this sample. A lower luminosity limit of log Lbol > 45 (left panel) and log Lbol > 47 (right panel) is applied, respectively.
Current usage metrics show cumulative count of Article Views (full-text article views including HTML views, PDF and ePub downloads, according to the available data) and Abstracts Views on Vision4Press platform.
Data correspond to usage on the plateform after 2015. The current usage metrics is available 48-96 hours after online publication and is updated daily on week days.
Initial download of the metrics may take a while.