Free Access

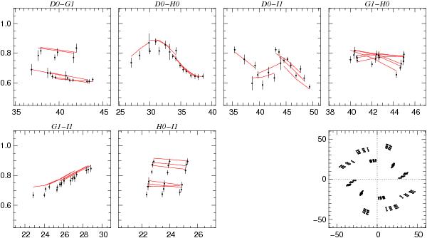
Fig. A.1

thumbnail

Observed calibrated visibilities (V2) on δ Sco versus the spatial frequency (m/μm). Each panel is for a baseline. The red curves are the result of the global fit by a disk+point model. The (u,v) plane coverage (m/μm) of the observations is displayed in the bottom-right panel. North is up and east to the right. The radial tracks come from the spectral dispersion over 3 spectral channels.

Current usage metrics show cumulative count of Article Views (full-text article views including HTML views, PDF and ePub downloads, according to the available data) and Abstracts Views on Vision4Press platform.

Data correspond to usage on the plateform after 2015. The current usage metrics is available 48-96 hours after online publication and is updated daily on week days.

Initial download of the metrics may take a while.