Free Access
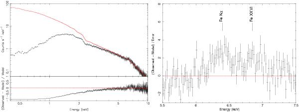
Fig. 1

Left panel: EPIC-pn spectrum of NGC 7314 with residuals. The solid line represents the best-fit model excluding the neutral and ionized absorption and the Fe emission lines. Right panel: detail of the EPIC-pn spectrum residuals in the Fe Kα region.
This figure is made of several images, please see below:
Current usage metrics show cumulative count of Article Views (full-text article views including HTML views, PDF and ePub downloads, according to the available data) and Abstracts Views on Vision4Press platform.
Data correspond to usage on the plateform after 2015. The current usage metrics is available 48-96 hours after online publication and is updated daily on week days.
Initial download of the metrics may take a while.