Free Access
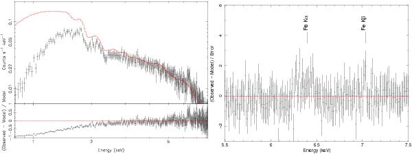
Fig. 4

Left panel: Suzaku XIS spectrum with residuals of NGC 7314. The solid line represents the power-law best-fit model excluding intrinsic absorption and Fe emission lines. Right panel: detail of the Suzaku XIS spectrum residuals in the Fe Kα region.
This figure is made of several images, please see below:
Current usage metrics show cumulative count of Article Views (full-text article views including HTML views, PDF and ePub downloads, according to the available data) and Abstracts Views on Vision4Press platform.
Data correspond to usage on the plateform after 2015. The current usage metrics is available 48-96 hours after online publication and is updated daily on week days.
Initial download of the metrics may take a while.