Free Access

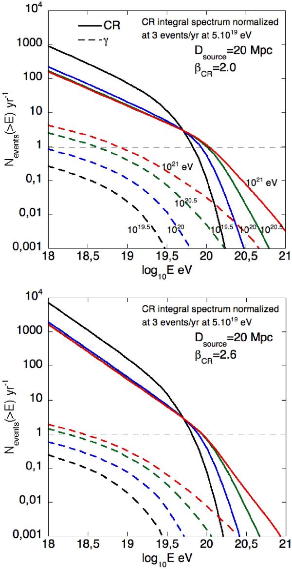
Fig. 9

thumbnail

UHECR and UHE photon-integrated fluxes for a source located at 20 Mpc and different values of the maximum energy: 1019.5, 1020, 1020.5 and 1021 eV. Top: a source spectral index β = 2.0 is considered. Bottom: β = 2.6, the integrated flux is normalized assuming that the source provides three cosmic ray events above 5 × 1019 eV.

This figure is made of several images, please see below:

Current usage metrics show cumulative count of Article Views (full-text article views including HTML views, PDF and ePub downloads, according to the available data) and Abstracts Views on Vision4Press platform.

Data correspond to usage on the plateform after 2015. The current usage metrics is available 48-96 hours after online publication and is updated daily on week days.

Initial download of the metrics may take a while.