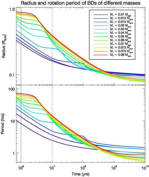
Fig. 1

Spin evolution of BDs assumed in our simulations, calibrated to match observations (Herbst et al. 2007). The curves represent the rotation period of BDs of different masses (0.01, 0.012, 0.015, 0.02, 0.03, 0.04, 0.05, 0.06, 0.07, 0.072, 0.075, 0.08 M⊙) computed from the radius evolution and the conservation of angular momentum. The dotted lines represent the initial time for the two sets of simulations, thus also giving the initial rotation periods for each BD.
Current usage metrics show cumulative count of Article Views (full-text article views including HTML views, PDF and ePub downloads, according to the available data) and Abstracts Views on Vision4Press platform.
Data correspond to usage on the plateform after 2015. The current usage metrics is available 48-96 hours after online publication and is updated daily on week days.
Initial download of the metrics may take a while.