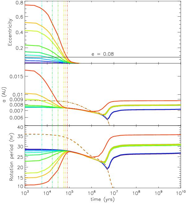
Fig. 4

Evolution of semi-major axis, eccentricity and rotation period of a 1 M⊕ planet evolving around a 0.04 M⊙ BD. Each solid line represents a planet with a different initial eccentricity. The initial semi-major axis for each case is aswitch, which increases with eccentricity. The dashed-dotted line represent the corotation radius and the dashed line the rotation period of the BD. The vertical lines show the time at which the eccentricity effects become negligible for each initial eccentricity.
Current usage metrics show cumulative count of Article Views (full-text article views including HTML views, PDF and ePub downloads, according to the available data) and Abstracts Views on Vision4Press platform.
Data correspond to usage on the plateform after 2015. The current usage metrics is available 48-96 hours after online publication and is updated daily on week days.
Initial download of the metrics may take a while.