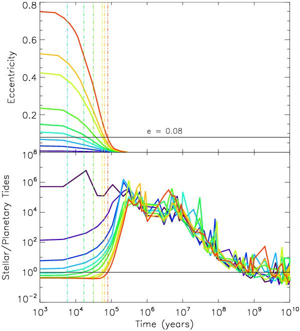
Fig. 5

Evolution of eccentricity and of the ratio of planetary over BD tides of a 1 M⊕ planet evolving around a 0.04 M⊙ BD. The full colored lines represent the evolution for different initial eccentricity. For a non zero eccentricity, the planetary tide dominates. When the eccentricity reaches 0.08, the strength of the BD tide is equal to the strength of the planetary tide. The vertical lines show the time at which the BD tide starts to win over planetary tide.
Current usage metrics show cumulative count of Article Views (full-text article views including HTML views, PDF and ePub downloads, according to the available data) and Abstracts Views on Vision4Press platform.
Data correspond to usage on the plateform after 2015. The current usage metrics is available 48-96 hours after online publication and is updated daily on week days.
Initial download of the metrics may take a while.