Planck early results
Free Access

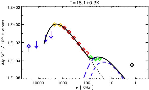
Fig.13

thumbnail

The resulting SED for the dark gas component. The different lines and colours are as described in Fig. 6. The dashed and short-dashed lines shows the spinning dust contribution from a molecular phase, and from an atomic phase, respectively.

Current usage metrics show cumulative count of Article Views (full-text article views including HTML views, PDF and ePub downloads, according to the available data) and Abstracts Views on Vision4Press platform.

Data correspond to usage on the plateform after 2015. The current usage metrics is available 48-96 hours after online publication and is updated daily on week days.

Initial download of the metrics may take a while.