Planck early results
Free Access

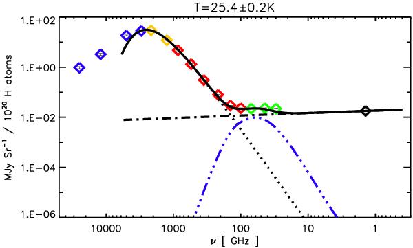
Fig.8

thumbnail

The resulting SEDs for the free-free component. The different lines and colours are as described in Fig. 6, except for the dash-dot line and the dash triple dot line which represent free-free emission and spinning dust in an ionised medium, respectively.

Current usage metrics show cumulative count of Article Views (full-text article views including HTML views, PDF and ePub downloads, according to the available data) and Abstracts Views on Vision4Press platform.

Data correspond to usage on the plateform after 2015. The current usage metrics is available 48-96 hours after online publication and is updated daily on week days.

Initial download of the metrics may take a while.