Planck early results
Free Access

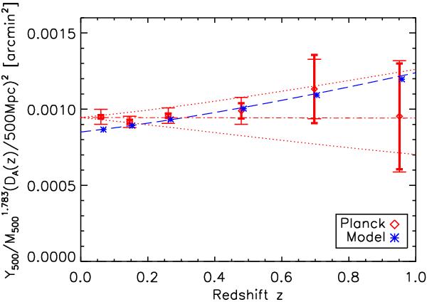
Fig. 5

thumbnail

Bin averaged SZ signal from a sphere of radius R500 (Y500) scaled by the expected mass and angular distance dependence as a function of redshift. The Planck data (red diamonds) and the SZ cluster signal expected from the X-ray based model (blue stars) are shown together with the expected standard redshift evolution (dahed line). The best fitting model is shown by the dot-dashed line and the 1σ confidence region is limited by the dotted lines. Here M500 is given in units of 3 × 1014M.

Current usage metrics show cumulative count of Article Views (full-text article views including HTML views, PDF and ePub downloads, according to the available data) and Abstracts Views on Vision4Press platform.

Data correspond to usage on the plateform after 2015. The current usage metrics is available 48-96 hours after online publication and is updated daily on week days.

Initial download of the metrics may take a while.