Planck early results
Free Access

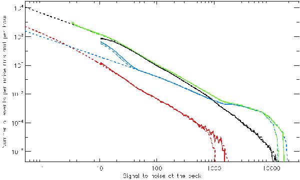
Fig. 12

thumbnail

Distributions of the three populations of glitches for one PSB-a bolometer at 143 GHz; black is for long glitches, blue is for short glitches, and red is for the very long ones. Green is for the total. The measured distributions from real data are displayed with solid curves, the model with dashed curves and the measured distributions in simulation with dot-dashed curves. One can see the excellent agreement between the estimated distributions from real data and from the simulations. The total distribution is well measured down to 3.2 σ. The separation of glitches into different populations is not attempted below 10 σ (σ stands for the rms of the noise), and is quite secure above 40 σ for PSB-a, and above 200 σ for PSB-b and SWB. A two-power law model with breaks has been used to represent the glitch populations at the faint end. For this bolometer, the breaks are fixed to  ≈100 σ for the short glitches,  ≈20 σ for the long and  ≈3 σ for the very long glitches.

Current usage metrics show cumulative count of Article Views (full-text article views including HTML views, PDF and ePub downloads, according to the available data) and Abstracts Views on Vision4Press platform.

Data correspond to usage on the plateform after 2015. The current usage metrics is available 48-96 hours after online publication and is updated daily on week days.

Initial download of the metrics may take a while.