Planck early results
Free Access

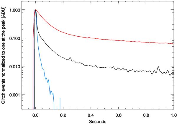
Fig. 5

thumbnail

Three examples of high amplitude glitch events for one bolometer. One event for each category of glitch is shown, normalized to unity at the peak. The blue curve shows a short glitch, the black curve a long one, and the red curve is for a very long glitch. Short and long glitches both display a fast bolometer time-constant decay; in the case of long glitches this is followed by an extended tail. Very long glitches are described by the same extended template as long glitches but do not show the fast bolometer time-constant decay.

Current usage metrics show cumulative count of Article Views (full-text article views including HTML views, PDF and ePub downloads, according to the available data) and Abstracts Views on Vision4Press platform.

Data correspond to usage on the plateform after 2015. The current usage metrics is available 48-96 hours after online publication and is updated daily on week days.

Initial download of the metrics may take a while.