Planck early results
Free Access

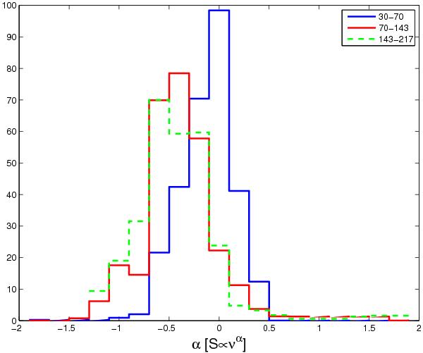
Fig.6

thumbnail

Spectral index distributions for different frequency intervals calculated by taking into account all sources selected at 30 GHz with Sν > 1Jy. There is clear evidence for a steepening above 70 GHz.

Current usage metrics show cumulative count of Article Views (full-text article views including HTML views, PDF and ePub downloads, according to the available data) and Abstracts Views on Vision4Press platform.

Data correspond to usage on the plateform after 2015. The current usage metrics is available 48-96 hours after online publication and is updated daily on week days.

Initial download of the metrics may take a while.