Planck early results
Free Access

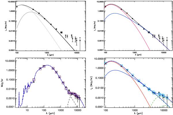
Fig.14

thumbnail

Fit of the SMC SED using the Finkbeiner model (upper left), the TLS model (upper right), the spinning dust model (lower left) and a combination of TLS and spinning dust models (lower right). In the lower panels, the squares represent the flux in each band predicted by the best model (the blue line).

Current usage metrics show cumulative count of Article Views (full-text article views including HTML views, PDF and ePub downloads, according to the available data) and Abstracts Views on Vision4Press platform.

Data correspond to usage on the plateform after 2015. The current usage metrics is available 48-96 hours after online publication and is updated daily on week days.

Initial download of the metrics may take a while.