Planck early results
Free Access

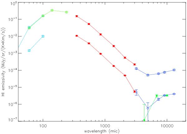
Fig.4

thumbnail

Average foreground SED in the direction of the LMC and SMC (lower curve) including IRAS–IRIS (light blue), Planck-LFI (red), Planck-LFI (green) and WMAP data (dark blue), compared to the SED of the high latitude low column-density MW SED (upper curve) derived in Planck Collaboration (2011o), which has been scaled up by a factor of 10 for clarity.

Current usage metrics show cumulative count of Article Views (full-text article views including HTML views, PDF and ePub downloads, according to the available data) and Abstracts Views on Vision4Press platform.

Data correspond to usage on the plateform after 2015. The current usage metrics is available 48-96 hours after online publication and is updated daily on week days.

Initial download of the metrics may take a while.