Planck early results
Free Access

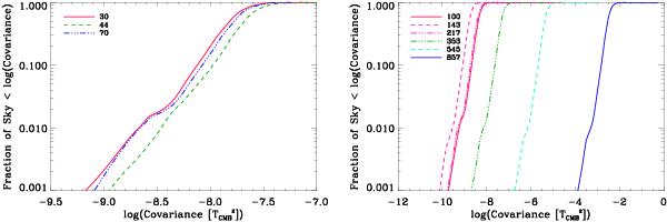
Fig.1

thumbnail

The variance in units of Kelvin2 across the entire sky, with the left panel showing the variance for the LFI frequencies and the right panel showing the variance for the HFI frequencies. At any single frequency, the variance in the all-sky maps span almost a factor of 50 over the entire sky.

This figure is made of several images, please see below:

Current usage metrics show cumulative count of Article Views (full-text article views including HTML views, PDF and ePub downloads, according to the available data) and Abstracts Views on Vision4Press platform.

Data correspond to usage on the plateform after 2015. The current usage metrics is available 48-96 hours after online publication and is updated daily on week days.

Initial download of the metrics may take a while.