Planck early results
Free Access

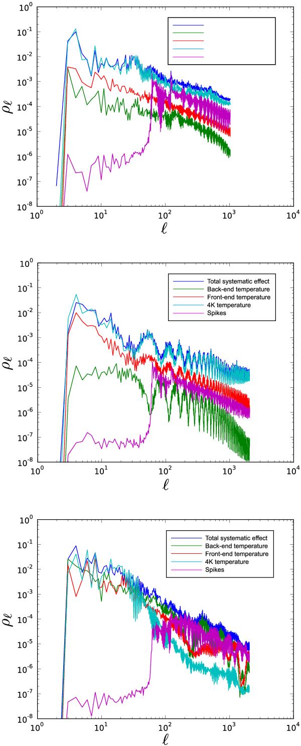
Fig. 26

thumbnail

Ratio / for the three LFI frequency channels (top: 30GHz; middle: 44GHz; bottom: 70GHz). In each panel we have plotted both the global spectrum obtained from the maps in Fig. 25 and the individual spectra calculated from the single-component maps.

This figure is made of several images, please see below:

Current usage metrics show cumulative count of Article Views (full-text article views including HTML views, PDF and ePub downloads, according to the available data) and Abstracts Views on Vision4Press platform.

Data correspond to usage on the plateform after 2015. The current usage metrics is available 48-96 hours after online publication and is updated daily on week days.

Initial download of the metrics may take a while.