Planck early results
Free Access

Fig.8

thumbnail

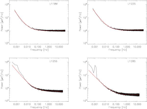
Noise spectra of radiometers LFI18M, LFI22S, LFI25S, and LFI28S) estimated by the noise pipeline (black lines). All spectra are well-fit by Eq. (20) with a single knee frequency and slope (red lines). An excess near 1mHz is visible in LFI25S and LFI28S. This is approximately the bed-switching frequency of the sorption cooler, and the different slopes in LFI28S and LFI25S on the low-frequency side of the spectrum are possibly indications of thermal effects on the radiometer output.

This figure is made of several images, please see below:

Current usage metrics show cumulative count of Article Views (full-text article views including HTML views, PDF and ePub downloads, according to the available data) and Abstracts Views on Vision4Press platform.

Data correspond to usage on the plateform after 2015. The current usage metrics is available 48-96 hours after online publication and is updated daily on week days.

Initial download of the metrics may take a while.