Planck early results
Free Access

Fig. 21

thumbnail

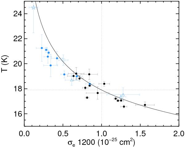
Temperature vs emission cross-section at 1200GHz (250μm) estimated from modified black-body fit with β = 1.8 to data from 353 to 3000GHz. Black is for LVCs, blue IVCs: IV Arch (dot), IV/LLIV Arch (triangle), Complex K (square) and PP Arch (star). The solid line respresents a constant emitted luminosity L corresponding to the diffuse ISM reference values (σe = 1 × 10-25cm-2 and T = 17.9K – dotted lines).

Current usage metrics show cumulative count of Article Views (full-text article views including HTML views, PDF and ePub downloads, according to the available data) and Abstracts Views on Vision4Press platform.

Data correspond to usage on the plateform after 2015. The current usage metrics is available 48-96 hours after online publication and is updated daily on week days.

Initial download of the metrics may take a while.