Planck early results
Free Access

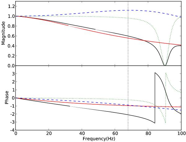
Fig.9

thumbnail

The amplitude and phase (in radians) of the three components of the TF10 model of the time response. The solid red line is Hbolo(f), the dotted green line shows Hfilter(f) and the dashed blue line shows Hres. The solid black line is H10(f), the product of the three components. The vertical dotted black line shows the signal frequency where the beam of a 217 GHz channel cuts the signal power by half.

Current usage metrics show cumulative count of Article Views (full-text article views including HTML views, PDF and ePub downloads, according to the available data) and Abstracts Views on Vision4Press platform.

Data correspond to usage on the plateform after 2015. The current usage metrics is available 48-96 hours after online publication and is updated daily on week days.

Initial download of the metrics may take a while.