Planck early results
Free Access

Fig.6

thumbnail

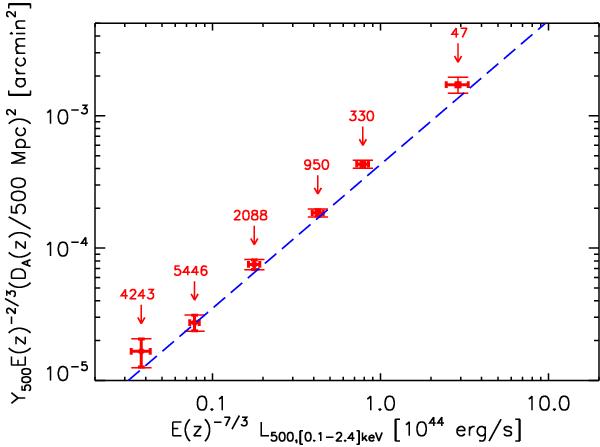
Comparison of our bin-average redshift-scaled SZ signal measurements with the mean X-ray luminosities found by Rykoff et al. (2008a). For this comparison, we re-bin into the same bins as Rykoff et al. (2008a) and plot the results as the red diamonds with error bars. The X-ray luminosities are brought to equivalent z = 0 values using the self-similar scaling of E − 7 / 3(z = 0.25) applied at the quoted z = 0.25 median redshift. The dashed blue line shows the predictions of the X-ray model. Our notation for the error bars follows previous figures. The numbers in the figure indicate the number of clusters in each bin.

Current usage metrics show cumulative count of Article Views (full-text article views including HTML views, PDF and ePub downloads, according to the available data) and Abstracts Views on Vision4Press platform.

Data correspond to usage on the plateform after 2015. The current usage metrics is available 48-96 hours after online publication and is updated daily on week days.

Initial download of the metrics may take a while.