Free Access

Fig. 16

thumbnail

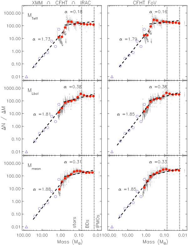
IMFs derived for Collinder 69 taking into account three different determination of mass for each member and the two different areas within the cluster. Left panels: area confined within the intersection of the XMM, CFHT, and IRAC fields of view. Top: IMF (I). Masses derived combining the estimated Teff and the composite 5 Myr isochrone (SIESS + COND). Middle: IMF (II). Masses derived combining the estimated Lbol and the composite 5 Myr isochrone (SIESS + COND). Bottom: IMF (III). Masses derived averaging the masses from the previous two figures. Right panels: area confined within the CFHT field of view (including the central part of the cluster). Top: IMF (IV). Same method to estimate masses as in IMF (I). Middle: IMF(V). Same method to estimate masses as in IMF (II). Bottom: IMF (VI). Same method to estimate masses as in IMF (III).

Current usage metrics show cumulative count of Article Views (full-text article views including HTML views, PDF and ePub downloads, according to the available data) and Abstracts Views on Vision4Press platform.

Data correspond to usage on the plateform after 2015. The current usage metrics is available 48-96 hours after online publication and is updated daily on week days.

Initial download of the metrics may take a while.