Free Access

Fig. 2

thumbnail

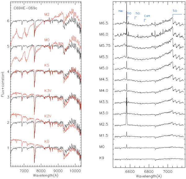
Left: spectral type determination of one XMM candidate member by comparison to templates obtained with the same instrumental set-up (CAFOS). The “science spectra” are displayed in black and the templates (labelled according to the spectral type) in red. Right: spectral sequence derived for candidate members of Collinder 69 observed with FLAMES. Note the intense Hα emission and strengthening of the typical TiO and CaH bands with the spectral type.

This figure is made of several images, please see below:

Current usage metrics show cumulative count of Article Views (full-text article views including HTML views, PDF and ePub downloads, according to the available data) and Abstracts Views on Vision4Press platform.

Data correspond to usage on the plateform after 2015. The current usage metrics is available 48-96 hours after online publication and is updated daily on week days.

Initial download of the metrics may take a while.