Free Access

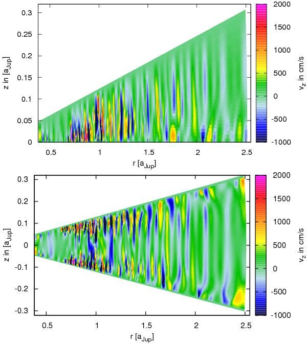
Fig. 16

thumbnail

Velocities in z-direction for 0.04 M discs with embedded 20 MEarth planet. In the top panel only the upper half of the disc was simulated, while in the bottom panel both sides of the disc were simulated (with twice the number of grid cells in θ direction). The other simulation parameters are identical.

This figure is made of several images, please see below:

Current usage metrics show cumulative count of Article Views (full-text article views including HTML views, PDF and ePub downloads, according to the available data) and Abstracts Views on Vision4Press platform.

Data correspond to usage on the plateform after 2015. The current usage metrics is available 48-96 hours after online publication and is updated daily on week days.

Initial download of the metrics may take a while.