Free Access

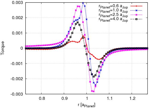
Fig. 4

thumbnail

Radial torque density Γ(r) acting on 20 MEarth planets at rP = 0.6, rP = 1.0, rP = 2.5 and rP = 4.0 aJup. The distances have been scaled in r-direction to the actual planet location rP. The snapshots of the torque density have been taken in the equilibrium state at 80 Jupiter orbits.

Current usage metrics show cumulative count of Article Views (full-text article views including HTML views, PDF and ePub downloads, according to the available data) and Abstracts Views on Vision4Press platform.

Data correspond to usage on the plateform after 2015. The current usage metrics is available 48-96 hours after online publication and is updated daily on week days.

Initial download of the metrics may take a while.