Free Access

Fig. 6

thumbnail

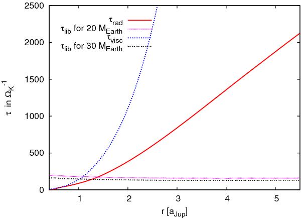
Radiative and viscous diffusion time scales that depend on the distance from the central star for our standard disc model. To compute the time scales we used the density and temperature of the midplane at the beginning of the fully radiative simulations (when the disc is in the r − θ equilibrium between viscous heating and radiative transport/cooling). Libration time scales are stated for 20 and 30 MEarth planets.

Current usage metrics show cumulative count of Article Views (full-text article views including HTML views, PDF and ePub downloads, according to the available data) and Abstracts Views on Vision4Press platform.

Data correspond to usage on the plateform after 2015. The current usage metrics is available 48-96 hours after online publication and is updated daily on week days.

Initial download of the metrics may take a while.