Free Access

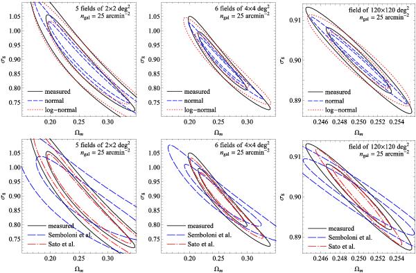
Fig. 6

thumbnail

Joint posterior distributions of the mean matter density Ωm and the matter power spectrum normalization σ8 of a flat ΛCDM universe inferred from a cosmic shear survey with ng = 25   arcmin-2 (assuming flat priors for Ωm and σ8, and all other cosmological parameters known). Shown are the 68% (inner) and 95% (outer) confidence contours for a small survey in 5 fields of 2  ×  2   deg2 (left panels), a survey in 6 fields of 4  ×  4   deg2 (middle panels), and a large survey in a 120  ×  120   deg2 field (right panels) obtained when using the covariance matrix measured from our lensing simulations (solid lines), the normal approximation (top, dashed lines), the log-normal approximation (top, dotted lines), the empirical corrections to the normal approximation by Semboloni et al. (2007, bottom, and the corrections by Sato et al. (2011b, bottom.

Current usage metrics show cumulative count of Article Views (full-text article views including HTML views, PDF and ePub downloads, according to the available data) and Abstracts Views on Vision4Press platform.

Data correspond to usage on the plateform after 2015. The current usage metrics is available 48-96 hours after online publication and is updated daily on week days.

Initial download of the metrics may take a while.