Free Access

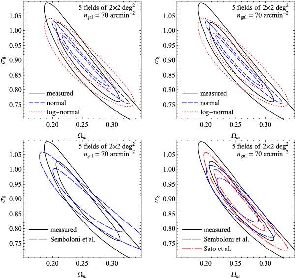
Fig. 7

thumbnail

68% (inner) and 95% (outer) confidence contours of the joint posterior distributions of the mean matter density Ωm and the matter power spectrum normalization σ8 of a flat ΛCDM universe inferred from a cosmic shear survey with ng = 70   arcmin-2 in 5 fields of 2  ×  2   deg2, obtained using the covariance from our lensing simulations (solid lines), the normal approximation (top, dashed lines), the log-normal approximation (top, dotted lines), the empirical corrections to the normal approximation by Semboloni et al. (2007, bottom, and the corrections by Sato et al. (2011b, bottom. For the left panels, the cosmic covariance parts of the data covariance matrices have be used as given by the approximations. For the right panels, the cosmic variance parts have been modified where needed to ensure positive-semidefiniteness (see text for details).

Current usage metrics show cumulative count of Article Views (full-text article views including HTML views, PDF and ePub downloads, according to the available data) and Abstracts Views on Vision4Press platform.

Data correspond to usage on the plateform after 2015. The current usage metrics is available 48-96 hours after online publication and is updated daily on week days.

Initial download of the metrics may take a while.