Free Access

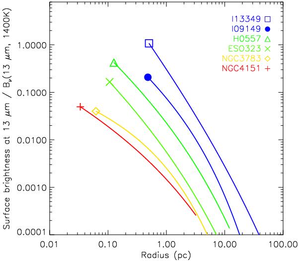
Fig. 13

thumbnail

The modeled surface brightness distribution of the power-law component at 13 μm as a function of radius in pc. The value is normalized with the constant value of the Planck function at 13 μm for T = 1400 K. The color indicates the UV luminosity of each object as in Fig. 3, which illustrates that higher luminosity objects have steeper and brighter surface brightness.

Current usage metrics show cumulative count of Article Views (full-text article views including HTML views, PDF and ePub downloads, according to the available data) and Abstracts Views on Vision4Press platform.

Data correspond to usage on the plateform after 2015. The current usage metrics is available 48-96 hours after online publication and is updated daily on week days.

Initial download of the metrics may take a while.