Free Access

Fig. 7

thumbnail

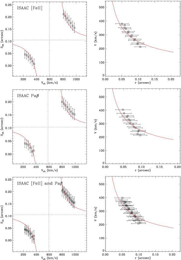
Results of the spectroastrometric modeling of the ISAAC [Fe II] data (upper panels), ISAAC Paβ data (central panels) and simultaneous fit of the [FeII] and Paβ data (lower panels). The left panels show the line of nodes projected rotation curve Sch vs. Vchan. The right panels show the r = |Sch − S0| vs. V = |Vch − Vsys| rotation curve. The solid red lines represent the curves expected from the model.

This figure is made of several images, please see below:

Current usage metrics show cumulative count of Article Views (full-text article views including HTML views, PDF and ePub downloads, according to the available data) and Abstracts Views on Vision4Press platform.

Data correspond to usage on the plateform after 2015. The current usage metrics is available 48-96 hours after online publication and is updated daily on week days.

Initial download of the metrics may take a while.