Free Access

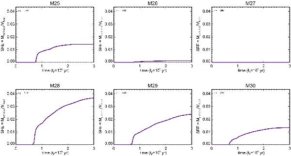
Fig. 12

thumbnail

SFEs for the models with Mbh = 108   M and UV = 0. The ratio of the total sink particle mass over the total initial gas mass is plotted against time (in free-fall units). Note that the y-axis range in this figure differs from the other (SFE) figures. From left to right, the cosmic ray rate increases from 1, 100 to 3000  ×    Galactic. From top to bottom, the X-ray flux increases from 0 to 160 erg   s-1   cm-2. The total number of sink particles formed during the run is given in the upper left corner of each panel.

Current usage metrics show cumulative count of Article Views (full-text article views including HTML views, PDF and ePub downloads, according to the available data) and Abstracts Views on Vision4Press platform.

Data correspond to usage on the plateform after 2015. The current usage metrics is available 48-96 hours after online publication and is updated daily on week days.

Initial download of the metrics may take a while.