Free Access

Fig. 5

thumbnail

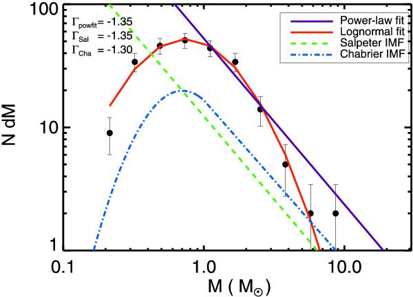
IMF of model M 01 without sink particle merging. In this image, the Salpeter IMF (green dashed) and the Chabrier IMF (blue dot-dashed) are displayed as fitted to our fiducial model. A linear fit and a lognormal fit are shown as purple and red lines.

Current usage metrics show cumulative count of Article Views (full-text article views including HTML views, PDF and ePub downloads, according to the available data) and Abstracts Views on Vision4Press platform.

Data correspond to usage on the plateform after 2015. The current usage metrics is available 48-96 hours after online publication and is updated daily on week days.

Initial download of the metrics may take a while.