Free Access

Fig. 10

thumbnail

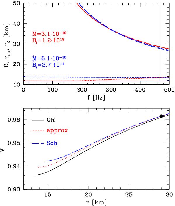
Upper panel: spin-up tracks of accreting NSs leading to presently observed PSR J1903+0327 parameters on radius-spin frequency plane. The relevant characteristic radii are: stellar radius (solid curves), the radius of a marginally stable orbit (dotted curves), and the radius of the inner boundary of accretion disk (dashed curves). Colors correspond to the specific values of accretion rate and the initial value of the magnetic field. Lower panel: effective radial potential V(r,l(r)) in the energy (mc2) units for an exact, approximate, and Schwarzschild solution; the dot marks the final r0. See the text for more details (color online).

Current usage metrics show cumulative count of Article Views (full-text article views including HTML views, PDF and ePub downloads, according to the available data) and Abstracts Views on Vision4Press platform.

Data correspond to usage on the plateform after 2015. The current usage metrics is available 48-96 hours after online publication and is updated daily on week days.

Initial download of the metrics may take a while.