Free Access

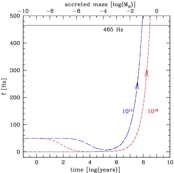
Fig. 3

thumbnail

Spin frequency evolution for initial spin frequencies of zero and 50 Hz and for an initial magnetic field of Bi = 1012 G and 1011 G as a function of the accreted mass (upper axis) or time (lower axis) calculated for a constant accretion rate  = 10-9 M/yr, on a logarithmic scale (color online).

Current usage metrics show cumulative count of Article Views (full-text article views including HTML views, PDF and ePub downloads, according to the available data) and Abstracts Views on Vision4Press platform.

Data correspond to usage on the plateform after 2015. The current usage metrics is available 48-96 hours after online publication and is updated daily on week days.

Initial download of the metrics may take a while.