Free Access

Fig. 4

thumbnail

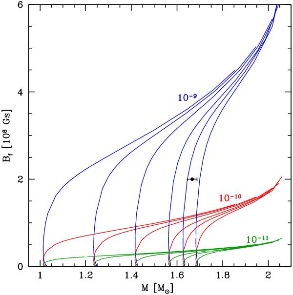
Final magnetic field Bf versus gravitational mass M for configurations rotating at f = 465 Hz. Colors correspond to different accretion rates. For a given accretion rate (in M/yr), different curves are defined by a given initial configuration (i.e., central density or initial mass). Along each curve, the initial magnetic field increases upwards. The error bar corresponds to the uncertainty (3σ) in the mass measurement (color online).

Current usage metrics show cumulative count of Article Views (full-text article views including HTML views, PDF and ePub downloads, according to the available data) and Abstracts Views on Vision4Press platform.

Data correspond to usage on the plateform after 2015. The current usage metrics is available 48-96 hours after online publication and is updated daily on week days.

Initial download of the metrics may take a while.