Free Access

Fig. A.3

thumbnail

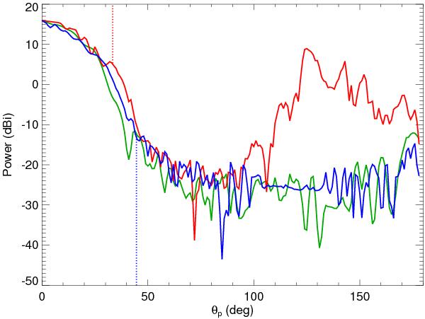
Subreflector illumination patterns on the main reflector as a function of angle θp from zp, the direction from PF to the center of the primary, for three values of φp in the main reflector (“p”) coordinate system: φp = −90°, red; 0°, green; 90°, blue. Vertical lines indicate the near () and far edges () of the main reflector in the φ =  ± 90° half-planes, respectively.

Current usage metrics show cumulative count of Article Views (full-text article views including HTML views, PDF and ePub downloads, according to the available data) and Abstracts Views on Vision4Press platform.

Data correspond to usage on the plateform after 2015. The current usage metrics is available 48-96 hours after online publication and is updated daily on week days.

Initial download of the metrics may take a while.