Free Access

This article has an erratum: [https://doi.org/10.1051/0004-6361/201118331e]


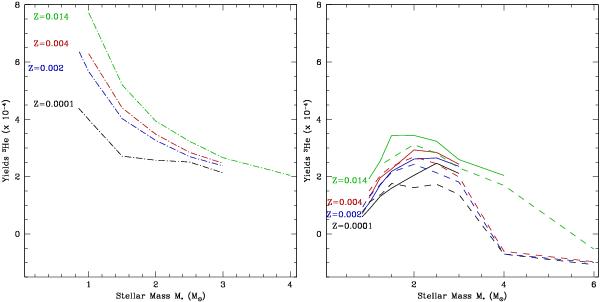
Fig. 9

thumbnail

Yields of 3He as a function of stellar mass, at different metallicities. (Left) Predictions for standard models. (Right) Predictions including thermohaline mixing only (solid lines) and including both thermohaline and rotation-induced mixings (dashed lines, for models computed up to the AGB tip or to 3He exhaustion).

This figure is made of several images, please see below:

Current usage metrics show cumulative count of Article Views (full-text article views including HTML views, PDF and ePub downloads, according to the available data) and Abstracts Views on Vision4Press platform.

Data correspond to usage on the plateform after 2015. The current usage metrics is available 48-96 hours after online publication and is updated daily on week days.

Initial download of the metrics may take a while.