Free Access

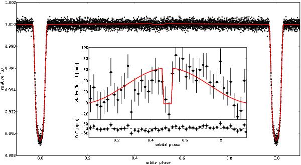
Fig. 3

thumbnail

Unbinned phase-folded light curve of KOI-196 with the best-fit model. The inset displays a zoom of the out-of-transit LC binned to 0.02 in phase with the best-fit model of the planet phase variation and occultation (inset, top panel) and its residuals (inset, bottom panel). Out-of-transit residuals binned to 0.02 in phase have a dispersion of 22 ppm.

Current usage metrics show cumulative count of Article Views (full-text article views including HTML views, PDF and ePub downloads, according to the available data) and Abstracts Views on Vision4Press platform.

Data correspond to usage on the plateform after 2015. The current usage metrics is available 48-96 hours after online publication and is updated daily on week days.

Initial download of the metrics may take a while.