Free Access

Fig. 1

thumbnail

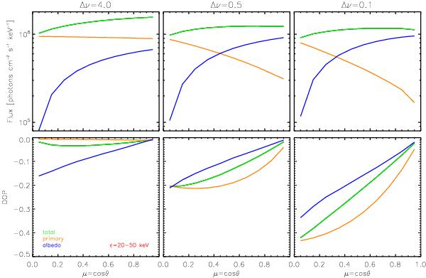
Photon flux (top row) and DOP (bottom row) for upward primary (orange), albedo (blue) and total (green) components across the entire source for the Δν = 4.0 (1st column), the Δν = 0.5 (2nd column) and the Δν = 0.1 (last column) created photon distributions respectively, at the peak albedo energies of 20–50 keV, for different locations on the solar disk from the centre (μ = 1.0) to the limb (μ = 0.0). Note here that a negative DOP denotes that the direction of polarization Ψ across the source is parallel to the radial direction. The DOP for Δν = 4.0 photon distribution (near isotropic distribution) shows  ~  the same result as Bai & Ramaty (1978), as expected.

Current usage metrics show cumulative count of Article Views (full-text article views including HTML views, PDF and ePub downloads, according to the available data) and Abstracts Views on Vision4Press platform.

Data correspond to usage on the plateform after 2015. The current usage metrics is available 48-96 hours after online publication and is updated daily on week days.

Initial download of the metrics may take a while.