Free Access

Fig. 15

thumbnail

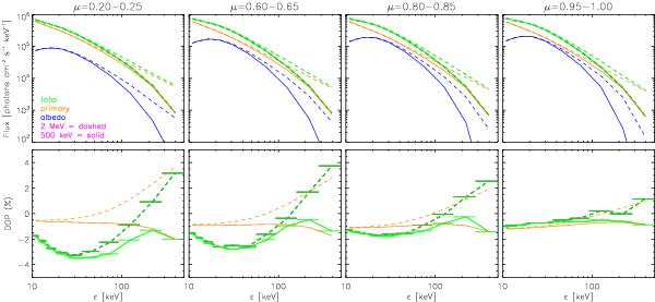
Changes in flux (top row) and spatially integrated polarization (bottom row) for the total source (green), primary (orange) and albedo (blue) components with photon energy ϵ for the Δν = 4.0 created photon distribution with Ecutoff = 500 keV (solid lines) and Ecutoff = 2 MeV (dashed lines). Note that the four disk locations shown are the same as those used in Fig. 6. Though there are small changes in the magnitude (DOP) of the polarization, at high photon energies (~200 keV), the polarization direction of the 2 MeV distribution changes from Ψ = 0° (negative) to Ψ = 90° (positive), while Ψ for the 500 keV distribution always stays negative.

Current usage metrics show cumulative count of Article Views (full-text article views including HTML views, PDF and ePub downloads, according to the available data) and Abstracts Views on Vision4Press platform.

Data correspond to usage on the plateform after 2015. The current usage metrics is available 48-96 hours after online publication and is updated daily on week days.

Initial download of the metrics may take a while.