Free Access

Fig. 14

thumbnail

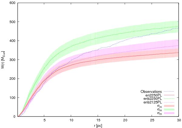
Comparison of the present-day cumulative mass profiles of observations and models with primordial binaries. The thick solid (red) lines are derived from the ensemble en2250PL without binaries, the dashed (green) line is derived from the ensemble enb2250PL with 33% primordial binaries, and the dotted (magenta) line is derived from the best-fitting ensemble with 33% primordial binaries enb2125PL. The dashed (blue) line represents the observations. The standard errors are shown as filled areas.

Current usage metrics show cumulative count of Article Views (full-text article views including HTML views, PDF and ePub downloads, according to the available data) and Abstracts Views on Vision4Press platform.

Data correspond to usage on the plateform after 2015. The current usage metrics is available 48-96 hours after online publication and is updated daily on week days.

Initial download of the metrics may take a while.