Free Access

Fig. 16

thumbnail

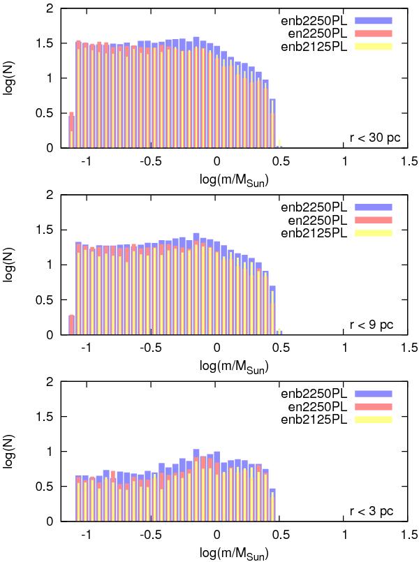
Comparison of the PDMFs between ensembles enb2250PL, en2250PL, and enb2125PL. Top panel: stars within a radius of 30 pc of the center (Jacobi radius); middle panel: stars within a radius of 9 pc of the center (Jacobi radius); bottom panel: stars within a radius of 3 pc of the center (core). Shown is the mean value of log (N) from the ensemble averaging over 15 runs. The errors are 1σm standard errors.

Current usage metrics show cumulative count of Article Views (full-text article views including HTML views, PDF and ePub downloads, according to the available data) and Abstracts Views on Vision4Press platform.

Data correspond to usage on the plateform after 2015. The current usage metrics is available 48-96 hours after online publication and is updated daily on week days.

Initial download of the metrics may take a while.