Free Access

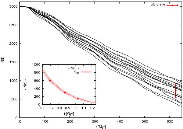
Fig. 5

thumbnail

Particle number within r = 30 pc from the cluster center as a function of time for all 15 runs of the ensemble en3000W6. One can see the non-Markovian process of star cluster dissolution. The mean final particle number and the standard deviation for a single run is shown as a (red) dot with vertical errorbars at t = 625 Myr. The future evolution of the mean particle number within r = 30 pc is shown in the inset. There the times when the cluster has reached 20, 10 and 5% of its initial particle number are shown as (red) dots.

Current usage metrics show cumulative count of Article Views (full-text article views including HTML views, PDF and ePub downloads, according to the available data) and Abstracts Views on Vision4Press platform.

Data correspond to usage on the plateform after 2015. The current usage metrics is available 48-96 hours after online publication and is updated daily on week days.

Initial download of the metrics may take a while.