Free Access

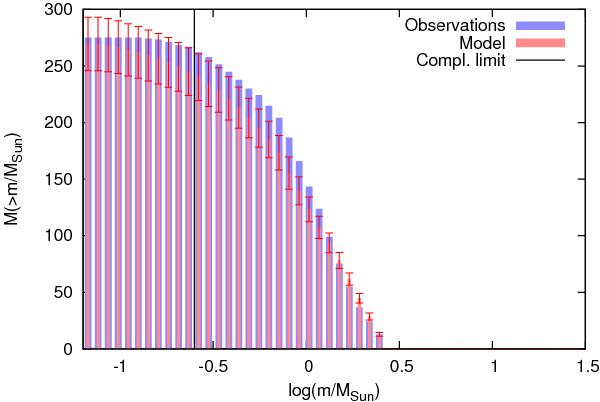
Fig. 9

thumbnail

Present-day cumulative mass function for the ensemble en3000W6 for r < 9 pc from the cluster center. Shown is the sum of all masses which are higher than a given mass. The errors are 1σm standard errors. The completeness limit of the observations is shown as a vertical solid line.

Current usage metrics show cumulative count of Article Views (full-text article views including HTML views, PDF and ePub downloads, according to the available data) and Abstracts Views on Vision4Press platform.

Data correspond to usage on the plateform after 2015. The current usage metrics is available 48-96 hours after online publication and is updated daily on week days.

Initial download of the metrics may take a while.