Free Access

Fig. G.1

thumbnail

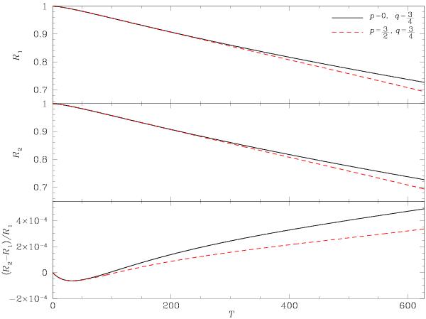
The discrepancy (bottom panel) between the exact motion (top panel) and its NSH86 approximation (central panel) is negligible. This is illustrated plotting the radial motion of dust grains for S0 = 10-2, η0 = 10-2 and for (solid) and (dashed). Top: , middle: , bottom: relative difference .

Current usage metrics show cumulative count of Article Views (full-text article views including HTML views, PDF and ePub downloads, according to the available data) and Abstracts Views on Vision4Press platform.

Data correspond to usage on the plateform after 2015. The current usage metrics is available 48-96 hours after online publication and is updated daily on week days.

Initial download of the metrics may take a while.